Persistent Systems
2024

Overview
Web Developer
UI Designer
the problem
Manual attendance tracking and billing processes are error-prone and time-consuming, leading to discrepancies and increased managerial workload.
THE SOLUTION
Develop a robust, user-friendly time tracking and attendance system with dedicated dashboards for employees and managers, enhancing accuracy in reporting and streamlining billing processes.
DESIGN Process
01
initial problem discovery
foundational analysis
user interviews
02
AFFINITY mapping
user persona
03
sketching
USER FLOW
04
wireframing
final design
prototype
05
pilot testing
feedback
06
RESEARCH
INITIAL PROBLEM DISCOVERY
The company faced significant challenges in accurately tracking employee attendance and addressing time discrepancies due to reliance on manually filled Excel sheets. This process not only increased the workload for managers but also led to frequent billing errors, impacting operational efficiency and accuracy.
These inefficiencies resulted in wasted managerial time and occasional billing disputes, further affecting productivity and client trust.
Problems Faced with the Current Solution
Error rate across billing reports
Additional workload per week to verify data
Foundational Research
We analyzed existing solutions to identify key features and best practices that could be incorporated into designing an optimized and user-centric tool. This collaborative exploration helped shape the core functionality and address existing gaps effectively.
stakeholder INTERVIEWS
We conducted stakeholder interviews with 2 managers and 10 employees to understand their challenges and pain points with the current solution.
USER pain points
After conducting the interviews we gathered the following insights.
Employees reported frequent errors while filling data manually.
Billing reports impacted by discrepancies, causing errors in invoicing.
Spent by managers per week identifying discrepancies manually.
synthesis
AFFINITY mapping
We used affinity mapping to organize and analyze insights from stakeholder interviews and daily scrum meetings, grouping pain points and needs into clear themes.
USER PERSONA
Based on research insights, we developed detailed user personas to represent the platform's key users—managers and employees. Each persona captured their goals, pain points, and motivations, helping to align design decisions with user needs and create a more efficient and user-friendly experience.
ideation
sketching
During the ideation phase, we created sketches to visualize initial design concepts for the manager and employee dashboards, laying the groundwork for the development of wireframes.
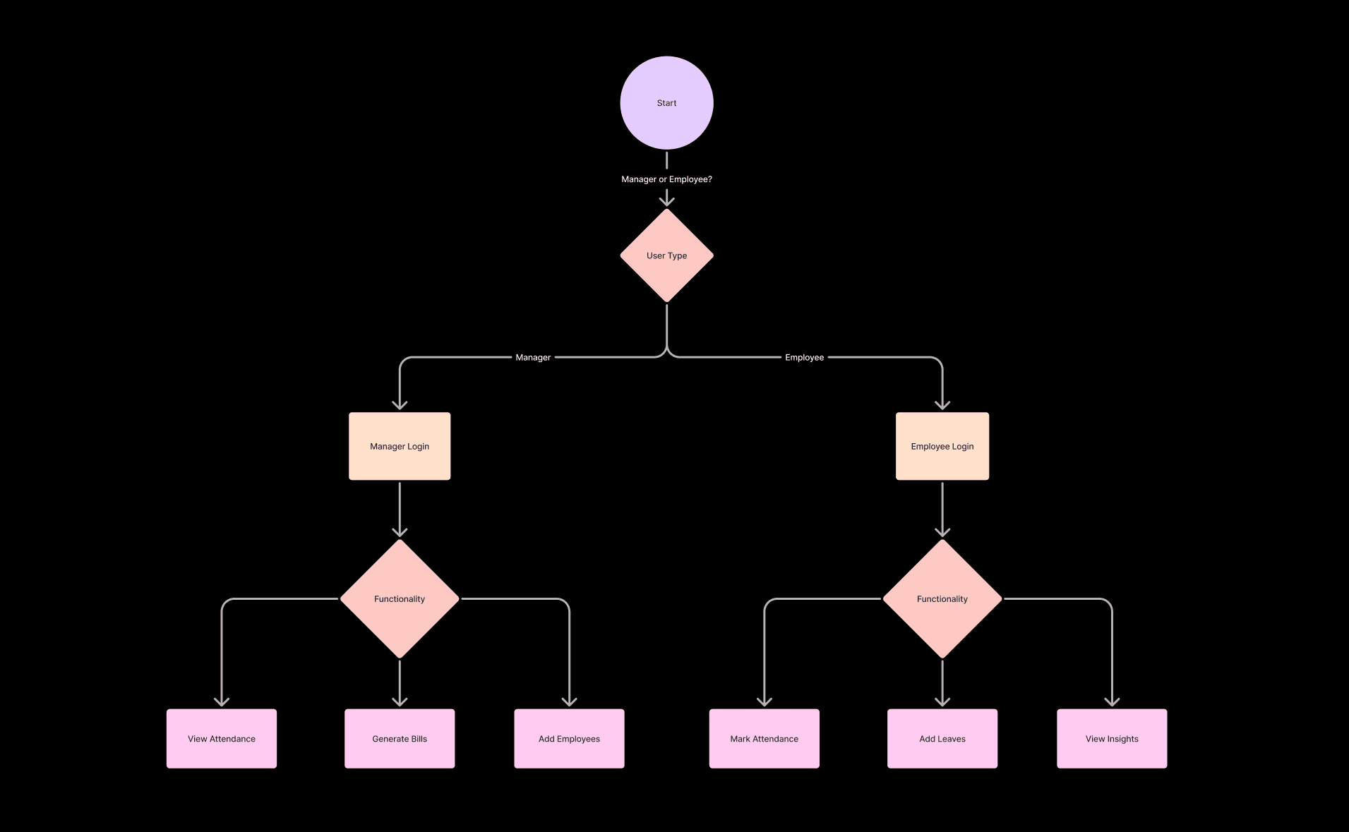
user flow
We created detailed user flows to illustrate the functionality of the manager and employee dashboards, highlighting key features and interactions.
design
wireframing
Building on the user flows, wireframes were created to define the layout and functionality of the manager and employee dashboards, ensuring clarity and usability.
final design
INTRODUCING TIMESYNC
A streamlined solution with intuitive manager and employee dashboards, designed to simplify attendance tracking, billing, discrepancy management, and improve operational efficiency.
login screen
The login screen allows users to securely access the platform using their unique employee code. Based on their role, they are directed to either the manager dashboard or the employee dashboard.
manager dashboard
The manager dashboard allows tracking of attendance records, employee billing hours, and the resource list, providing key information at a glance.
resource management
The resource onboarding screen allows managers to onboard new resources and delete existing ones. The billing screen displays the rate card for each resource, provides billing insights, and enables exporting invoices for billable resources.
employee dashboard
The employee dashboard allows users to track their attendance trends and view their leave or absence balance. It also features a current task list for better organization. The attendance screen enables employees to manage and update their attendance seamlessly.
PROTOTYPE
USER TESTING
PILOT TEST
The pilot test was conducted with my manager, a senior engineer partner, and a group of employees who will be using the system. Their feedback provided valuable insights to refine the solution for better usability and functionality.
feedback
reflections
post design outcome
TimeSync received a highly positive response when used for billing employees within our business unit. Its implementation achieved an 87% reduction in billing process time, earning our team the prestigious in-house "High Five" award.
conclusion
Designing and implementing TimeSync has been an enriching journey, underscoring the importance of understanding stakeholder needs through clear communication. This experience taught me to prioritize functionality and usability over aesthetics, ensuring the tool integrates seamlessly into workflows. It reinforced the value of creating solutions that balance practicality and user-centered design.




















